It is represented by the symbol j and usually expressed in newton seconds or kg m s. The contact time associated with a particular force is the amount of time the force is acting.
I t units.
Physics impulse symbol. Impulse is a vector with both a value and a direction and is represented by the symbol. Impulse is the product of a constant force and a time interval. The impulse delivered by the force is the product of the average force and the contact time.
Impulse in physics is a term that is used to describe or quantify the effect of force acting over time to change the momentum of an object. In classical mechanics impulse symbolized by displaystyle j or imp is the integral of a force displaystyle f over the time interval displaystyle t for which it acts. 21 0 n s 1 0 kg m s s 1 0 kg m s.
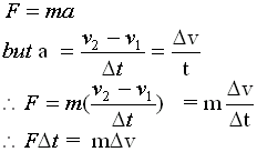
The greek letter delta is used to mean the change in and is the amount of time for which the force is applied. Note for later use. The unit of impulse is the newton second.
Rotational Kinetic Energy And Angular Momentum
Impulse Units Definition Si Units Impulse Momentum Theorem Examples Real Life Scenario
Impulse And Momentum Ap Physics C Ppt Video Online Download
9 2 Impulse And Collisions University Physics Volume 1
Momentum Equations Impulse Zona Land Education
Impulse Review Article Khan Academy
Click And Learn Impulse Momentum
Momentum Definition Momentum Symbol Is Defined As The Product Of The And Of A Moving Body Momentum P Units N B Since Ppt Download
What Are Momentum And Impulse Article Khan Academy




0 comments:
Post a Comment